You are given the root node of a binary search tree (BST) and a value to insert into the tree. Return the root node of the BST after the insertion. It is guaranteed that the new value does not exist in the original BST.
Notice that there may exist multiple valid ways for the insertion, as long as the tree remains a BST after insertion. You can return any of them.
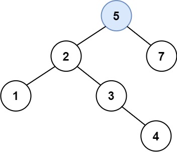
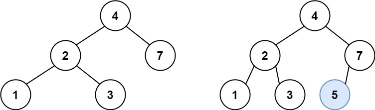
Example 1:
Input: root = [4,2,7,1,3], val = 5 Output: [4,2,7,1,3,5] Explanation: Another accepted tree is:![]()
Example 2:
Input: root = [40,20,60,10,30,50,70], val = 25 Output: [40,20,60,10,30,50,70,null,null,25]
Example 3:
Input: root = [4,2,7,1,3,null,null,null,null,null,null], val = 5 Output: [4,2,7,1,3,5]
Constraints:
- The number of nodes in the tree will be in the range
[0, 104]. -108 <= Node.val <= 108- All the values
Node.valare unique. -108 <= val <= 108- It's guaranteed that
valdoes not exist in the original BST.
Related Topics:
Tree, Binary Search Tree, Binary Tree
Similar Questions:
// OJ: https://leetcode.com/problems/insert-into-a-binary-search-tree/
// Author: github.com/lzl124631x
// Time: O(H)
// Space: O(H)
class Solution {
public:
TreeNode* insertIntoBST(TreeNode* root, int val) {
if (!root) return new TreeNode(val);
if (val > root->val) root->right = insertIntoBST(root->right, val);
else root->left = insertIntoBST(root->left, val);
return root;
}
};
