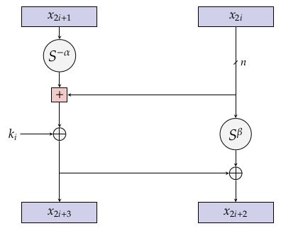
Speck is a family of lightweight block ciphers publicly released by the National Security Agency (NSA) in June 2013. Speck has been optimized for performance in software implementations, while its sister algorithm, Simon, has been optimized for hardware implementations. Speck is an add-rotate-xor (ARX) cipher. As Speck is a lightweight block cipher, many ciphers of this family are being progressively implemented into Internet of Things (IoT).
- Article: The SIMON and SPECK Families of Lightweight Block Ciphers, eprint.iacr.org, 2013
- Authors: Ray Beaulieu, Douglas Shors, Jason Smith, Stefan Treatman-Clark, Bryan Weeks, and Louis Wingers (NSA)
- Target: Hardware (SIMON) and software (SPECK)
