A method to find near-duplicate images in an image collection.
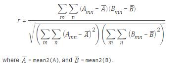
The metrics, coefficient of correlation measures the degree of correlation between two images. Correlation is the method establishing the degree of probability that a linear relationship exists between two measured quantities.
The correlation co-efficient has value
- r = 1 if two images are absolute identical
- r = 0 if they are completely uncorrelated
- r = -1 if they are anti correlated.
